Contoh soal Matematika Kelas 9 Bab Perpangkatan Terpopuler - contoh soal peluang dan pembahasannya, contoh soal integral substitusi, contoh soal psikotes kerja dan pembahasannya, contoh soal peluang bersyarat, contoh soal peluang, contoh soal psikotes, contoh soal peluang binomial, contoh soal psikotes polri, contoh soal akm numerasi sma, contoh soal psikotes kerja, contoh soal cpns pdf, contoh soal limit fungsi aljabar, contoh soal akm smp kelas 8, contoh soal cpns 2020 pdf, contoh soal tpa pdf, contoh soal tpa dan tps, contoh soal tpa gambar, contoh soal integral trigonometri, contoh soal cpns 2021 pdf, contoh soal peluang saling bebas, contoh soal integral, contoh soal toefl ibt, contoh soal cpns 2019 pdf, contoh soal toefl itp, contoh soal integral parsial, contoh soal tpa bappenas, contoh soal tpa sbmptn, contoh soal tpa numerik, contoh soal akm, contoh soal akm numerasi smp, contoh soal psikotes kerja online, contoh soal peluang kejadian saling lepas, contoh soal limit fungsi kelas 12, contoh soal psikotes dan jawabannya, contoh soal tpa verbal, contoh soal toefl dan pembahasannya, contoh soal cpns dan jawabannya, contoh soal limit tak hingga, contoh soal limit fungsi trigonometri, contoh soal integral tak tentu, contoh soal integral pecahan, contoh soal toefl reading, contoh soal limit fungsi aljabar bentuk akar, contoh soal toefl listening, contoh soal cpns 2020, contoh soal akm literasi smp, contoh soal tpa, contoh soal logaritma brainly, contoh soal psikotes matematika, contoh soal akm smp, contoh soal integral lipat dua, contoh soal tpa matematika, contoh soal limit tak hingga bentuk akar, contoh soal limit akar, contoh soal logaritma sbmptn, contoh soal psikotes kerja dan jawabannya pdf, contoh soal integral dan pembahasannya, contoh soal psikotes bank, contoh soal logaritma sma kelas 10, contoh soal integral tentu, contoh soal cpns dan pembahasan, contoh soal akm sma beserta jawabannya, contoh soal limit, contoh soal limit dan pembahasannya, contoh soal psikotes online, contoh soal akm sma pdf, contoh soal akm sd pdf, contoh soal psikotes kerja bank, contoh soal limit fungsi, contoh soal cpns tiu, contoh soal logaritma penjumlahan, contoh soal psikotes kerja di bank bri, contoh soal psikotes kerja di sakit, contoh soal tpa s2, contoh soal toefl dan pembahasan, contoh soal psikotes kerja dan jawabannya, contoh soal peluang kejadian bersyarat, contoh soal toefl, contoh soal cpns, contoh soal logaritma, contoh soal akm sd, contoh soal logaritma natural, contoh soal cpns 2019, contoh soal psikotes sma, contoh soal psikotes kerja pdf, contoh soal logaritma dasar, contoh soal logaritma kelas 10, contoh soal peluang kelas 12, contoh soal logaritma kelas 12, contoh soal toefl dan pembahasan pdf, contoh soal psikotes gambar, contoh soal psikotes kerja sakit, contoh soal peluang kejadian, contoh soal psikotes pdf, contoh soal integral akar, contoh soal toefl seu undip, contoh soal peluang kejadian majemuk, contoh soal toefl pdf, contoh soal logaritma dan pembahasannya pdf, contoh soal matematika kelas 9 bab perpangkatan.

Soal Ulangan Perpangkatan Dan Bentuk Akar Kelas 9 Kurikulum 2013 Kunci Dunia 585 soal ulangan perpangkatan dan bentuk 332

Soal Matematika Perpangkatan Dan Bentuk Akar Seputar Bentuk 638 soal matematika perpangkatan dan bentuk 826

Contoh Soal Matematika Kelas 9 Semester 1 Perpangkatan Dan Bentuk Akar 633 contoh soal matematika kelas 9 semester 1 perpangkatan dan bentuk akar 747

Soal Ulangan Perpangkatan Dan Bentuk Akar Kelas 9 Kurikulum 2013 Kunci Dunia 932 soal ulangan perpangkatan dan bentuk 631
Ayo Belajar Februari 2009 944 02 578

Contoh Soal Matematika Kelas 9 Semester 1 Bab 1 630 contoh soal matematika kelas 9 semester 1 bab 1 796

Soal Matematika Kelas 9 638 contoh soal matematika kelas 9 semester 903

Kunci Jawaban Esps Matematika Kelas 4 Kurikulum 2013 Bab 9 Kunci Jawaban Esps Matematika Kelas 1206 kunci jawaban esps matematika kelas 4 kurikulum 2013 bab 9 1600
Latihan Soal Perpangkatan Dan Bentuk Akar Kelas 9 Berbagi Bentuk Penting 638 latihan soal perpangkatan dan bentuk 630

Soal Dan Jawaban Kesebangunan Dan Kekongruenan – IlmuSosial 638 soal dan jawaban kesebangunan dan 1051
18 Contoh Soal Bilangan Pangkat Tak Sebenarnya Kelas 9 Kumpulan Contoh Soal 768 18 contoh soal bilangan pangkat tak 1024
BAB VOLUME DAN LUAS PERMUKAAN BANGUN RUANG Contoh Soal Volume Limas Matematika kelas 5 SD 638 bab volume dan luas permukaan bangun 902

Kunci Jawaban Matematika Kelas 5 Bab 1 Operasi Hitung Pecahan 728 222 kunci jawaban matematika kelas 5 bab 1 operasi hitung pecahan 1030

Soal Pilihan Ganda Notasi Ilmiah Kelas 9 Guru Paud 638 soal pilihan ganda notasi ilmiah kelas 9 826
Contoh Latihan Soal Kumpulan Soal Matematika Kelas 9 Bab Bangun Ruang Sisi Lengkung 595 kumpulan soal matematika kelas 9 bab 630

Contoh Soal Matematika Kelas 9 Semester 1 Bab 2 Kurikulum 2013 739 contoh soal matematika kelas 9 semester 1 bab 2 kurikulum 2013 365

Soal Ulangan Perpangkatan Dan Bentuk Akar Kelas 9 Kurikulum 2013 Kunci Dunia 612 soal ulangan perpangkatan dan bentuk 792

Soal Mtk Kelas 9 Bab 1 Semester 1 407 soal mtk kelas 9 bab 1 semester 1 640
Soal Dan Jawaban Matematika Bab Lingkaran Kelas 8 768 soal dan jawaban matematika bab 1024

pada prinsipnya sama dengan pembagian pecahan Perhatikan Contoh 320 modul materi operasi pecahan bentuk 209

Soal Mtk Kelas 9 Bab 1 Semester 1 638 soal mtk kelas 9 bab 1 semester 1 982

Contoh Soal Bentuk Sederhana Perpangkatan Terbaru 2019 638 contoh soal bentuk sederhana 903

Contoh Soal Matematika Kelas 9 Semester 1 Bab 2 Kurikulum 2013 390 contoh soal matematika kelas 9 semester 1 bab 2 kurikulum 2013 390

tolong tuliskan 5 contoh soal matematika essay beserta jawabannya kelas 8 semester 2 bab 1080 2220

Contoh Soal Matematika Kelas 9 Semester 1 Perpangkatan Dan Bentuk Akar 1070 contoh soal matematika kelas 9 semester 1 perpangkatan dan bentuk akar 2096

Contoh Soal Matematika Kelas 9 Semester 1 Bab 1 638 contoh soal matematika kelas 9 semester 1 bab 1 982

Contoh Soal Matematika Kelas 9 Semester 1 Bab 2 Kurikulum 2013 900 contoh soal matematika kelas 9 semester 1 bab 2 kurikulum 2013 1200

Soal Dan Pembahasan Logaritma Kurikulum 2013 Guru Ilmu Sosial 1280 soal dan pembahasan logaritma kurikulum 720

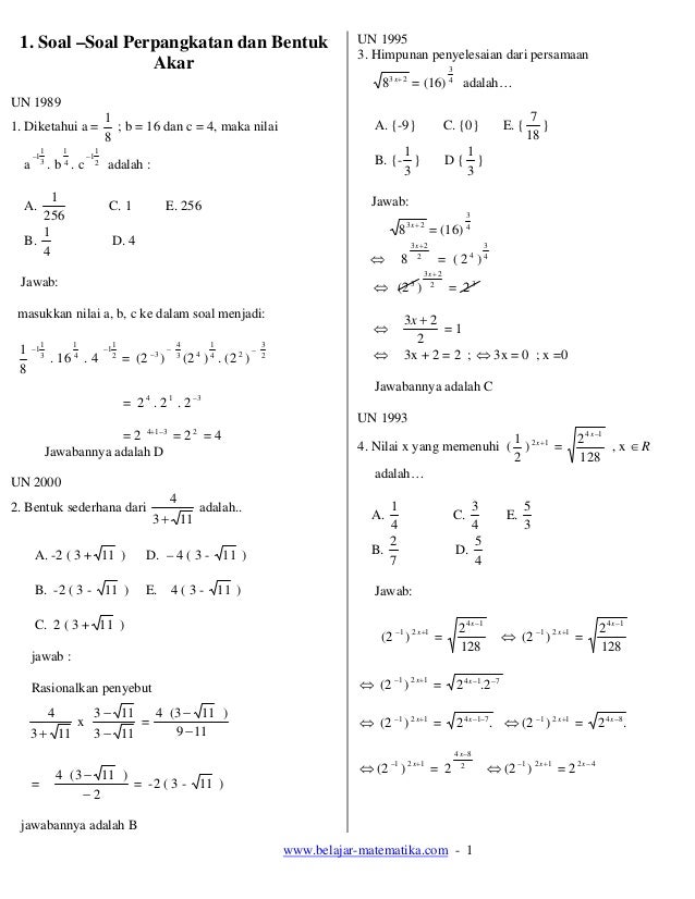
Contoh Soal Matematika Kelas 9 Bab I Perpangkatan dan Bentuk Akar Matematika Kelas IX SMP MTs 515 contoh soal matematika kelas 9 bab i perpangkatan dan bentuk akar 168

Contoh Soal Matematika Kelas 9 Bab I Perpangkatan dan Bentuk Akar Matematika Kelas IX SMP MTs 400 contoh soal matematika kelas 9 bab i perpangkatan dan bentuk akar 130
Materi Perpangkatan dan Bentuk Akar Matematika Kelas 9 Kurikulum 2013 Revisi 2018 Fastest Math 1200 materi perpangkatan dan bentuk akar 630

Soal Matematika Kelas 6 Bab 2 Dan Kunci Jawaban Kumpulan Contoh Surat dan Soal Terlengkap 717 soal matematika kelas 6 bab 2 dan kunci jawaban 906

Contoh Soal Matematika Kelas 9 Bab I Perpangkatan dan Bentuk Akar Matematika Kelas IX SMP MTs 320 contoh soal matematika kelas 9 bab i perpangkatan dan bentuk akar 168

Contoh Soal Matematika 719 contoh soal matematika 442

Soal Ulangan Perpangkatan Dan Bentuk Akar Kelas 9 Kurikulum 2013 Kunci Dunia 600 soal ulangan perpangkatan dan bentuk 927

Contoh Soal Matematika Perpangkatan Kelas 9 Berbagi Contoh Soal 181 contoh soal matematika perpangkatan 233

Contoh Soal Soal Matematika Eksponen Kelas 9 1280 soal matematika eksponen kelas 9 720

Soal Matematika Kelas 3 Sd Semester 1 Perkalian Dan Pembagian 693 soal matematika kelas 3 sd semester 1 perkalian dan pembagian 930

Contoh Soal Matematika Kelas 9 Semester 1 Perpangkatan Dan Bentuk Akar 1280 contoh soal matematika kelas 9 semester 1 perpangkatan dan bentuk akar 720
Contoh Soal Dan Jawaban Btq Kelas Ix Semester 1 Jawaban Buku 768 contoh soal dan jawaban btq kelas ix 1024
contoh soal akm,contoh soal akm literasi smp,contoh soal akm numerasi sma,contoh soal akm numerasi smp,contoh soal akm sd,contoh soal akm sd pdf,contoh soal akm sma beserta jawabannya,contoh soal akm sma pdf,contoh soal akm smp,contoh soal akm smp kelas 8,contoh soal limit,contoh soal limit akar,contoh soal limit dan pembahasannya,contoh soal limit fungsi,contoh soal limit fungsi aljabar,contoh soal limit fungsi aljabar bentuk akar,contoh soal limit fungsi kelas 12,contoh soal limit fungsi trigonometri,contoh soal limit tak hingga,contoh soal limit tak hingga bentuk akar,contoh soal psikotes,contoh soal psikotes bank,contoh soal psikotes dan jawabannya,contoh soal psikotes gambar,contoh soal psikotes kerja,contoh soal psikotes matematika,contoh soal psikotes online,contoh soal psikotes pdf,contoh soal psikotes polri,contoh soal psikotes sma,contoh soal toefl,contoh soal toefl dan pembahasan,contoh soal toefl dan pembahasan pdf,contoh soal toefl dan pembahasannya,contoh soal toefl ibt,contoh soal toefl itp,contoh soal toefl listening,contoh soal toefl pdf,contoh soal toefl reading,contoh soal toefl seu undip,
Tidak ada komentar:
Posting Komentar