Buku Pegangan Guru Matematika Smp Kelas 9 Kurikulum 2013 Pdf Terpercaya - buku pegangan guru matematika, buku pegangan bksn 2019, buku pegangan siswa fikih ma kelas x pdf, buku pegangan kader, buku pegangan guru pkn k13 kelas xi, buku pegangan siswa bahasa inggris kelas ix, buku pegangan guru paud, buku pegangan ilmu pen ahuan kosmetik, buku pegangan teknik tenaga listrik jilid ii, buku pegangan legio maria, buku pegangan sosialisasi jkn, buku pegangan guru matematika kelas 10, buku pegangan guru, buku pegangan guru matematika smp kelas 9 kurikulum 2013 pdf.
Buku pegangan guru matematika smp kelas 9 kurikulum 2013 638 buku pegangangurumatematikasmpkelas9kurikulum2013 451
Buku Pegangan Guru Matematika SMP Kelas 9 Kurikulum 2013 768 Buku Pegangan Guru Matematika SMP Kelas 9 Kurikulum 2013 1024
Buku Pegangan Siswa Matematika Smp Kelas 9 Kurikulum 2013 Semester 22 768 Buku Pegangan Siswa Matematika Smp Kelas 9 Kurikulum 2013 Semester 22 1024

Buku Matematika SMP kelas IX Kurikulum 2013 768 buku pegangansiswamatematikasmpkelas9kurikulum2013semester12 543

Kunci Jawaban Uji Kompetensi Bab 1 Matematika Kelas 9 BangSoal 733 kunci jawaban uji kompetensi bab 1 1035

Buku Guru Matematika SMP Kelas 8 Kurikulum 2013 BSE 493 buku matematika smp kls 8 kurikulum 2013 700
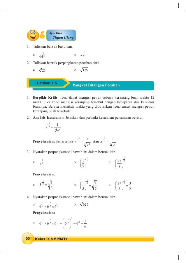
Buku Pegangan Guru Matematika SMP Kelas 9 Kurikulum 2013 149 Buku Pegangan Guru Matematika SMP Kelas 9 Kurikulum 2013 198

Buku Guru Matematika SMP Kelas 8 Kurikulum 2013 BSE 493 buku matematika smp kls 8 kurikulum 2013 258

BUKU PEGANGAN GURU DAN SISWA KELAS 9 KURIKULUM 2013 IPS 768 buku pegangan guru dan siswa kelas 9 kurikulum 2013 ips 1024
Buku Pegangan Guru Bahasa Indonesia SMP Kelas 9 Kurikulum 2013 matematohir pdf 149 Buku Pegangan Guru Bahasa Indonesia SMP Kelas 9 Kurikulum 2013 matematohir pdf 198
Buku Pegangan Guru Matematika Kurikulum 2013 Info Terkait Buku 768 buku pegangan guru matematika kurikulum 630
Buku Pegangan Guru Bahasa Indonesia SMP Kelas 9 Kurikulum 2013 matematohir pdf 149 Buku Pegangan Guru Bahasa Indonesia SMP Kelas 9 Kurikulum 2013 matematohir pdf 198
Buku Pegangan Guru Bahasa Inggris SMP Kelas 9 Kurikulum 2013 768 Buku Pegangan Guru Bahasa Inggris SMP Kelas 9 Kurikulum 2013 1024

Buku pegangan guru matematika smp kelas 9 kurikulum 2013 638 buku pegangangurumatematikasmpkelas9kurikulum2013 904
Buku Pegangan Guru Matematika SMP Kelas 9 Kurikulum 2013 149 Buku Pegangan Guru Matematika SMP Kelas 9 Kurikulum 2013 198

Download Buku Rumus Matematika Smp Pdf Matematika Dasar 638 buku rumus matematika smp pdf 867
![Buku pegangan guru agama islam smp kelas 9 kurikulum 2013 [PDF Document]](https://static.dokumen.tech/img/1200x630/reader018/image/20191027/58708c9d1a28ab412b8b496d.png?t=1610155802)
Buku pegangan guru agama islam smp kelas 9 kurikulum 2013 [PDF Document] 1200 buku pegangan guru agama islam smp kelas 9 kurikulum 2013 630
Modul Ipa Smp Kelas 7 Kurikulum 2013 Guru Ilmu Sosial 740 modul ipa smp kelas 7 kurikulum 2013 520

Materi Matematika Kelas 9 Berbagi Informasi 638 materi matematika kelas 9 904
Buku Pegangan Guru Bahasa Indonesia SMP Kelas 9 Kurikulum 2013 768 Buku Pegangan Guru Bahasa Indonesia SMP Kelas 9 Kurikulum 2013 1024

Buku Matematika Kelas 10 Kurikulum 2013 Revisi 2017 Synaoo 207 buku matematika kelas 10 kurikulum 2013 300

Buku Pegangan Guru Bahasa Inggris Kelas 8 Smp Kurikulum 2013 1280 443 buku pegangan guru bahasa inggris kelas 8 smp kurikulum 2013 720

Buku pegangan guru matematika smp kelas 9 kurikulum 2013 638 buku pegangangurumatematikasmpkelas9kurikulum2013 904

Jawapan Buku Pelangi Matematik Tambahan Tingkatan 4 Omong l 638 jawapan buku pelangi matematik tambahan 904

Buku pegangan guru matematika smp kelas 9 kurikulum 2013 638 buku pegangangurumatematikasmpkelas9kurikulum2013 904

Buku pegangan guru matematika smp kelas 9 kurikulum 2013 638 buku pegangangurumatematikasmpkelas9kurikulum2013 904

Buku Siswa Mari Belajar Matematika Kelas 5 Kurikulum 2013 Pdf 1180 106 buku siswa mari belajar matematika kelas 5 kurikulum 2013 pdf 1600

Buku Matematika Kelas 7 Pdf – IlmuSosial 650 buku matematika kelas 7 pdf 2 975
Buku Pegangan Guru Bahasa Indonesia SMP Kelas 9 Kurikulum 2013 matematohir pdf 149 Buku Pegangan Guru Bahasa Indonesia SMP Kelas 9 Kurikulum 2013 matematohir pdf 198

Buku Pegangan Guru Matematika Smp Kelas 9 2385 buku pegangan guru matematika smp kelas 1119

Buku pegangan guru matematika smp kelas 9 kurikulum 2013 638 buku pegangangurumatematikasmpkelas9kurikulum2013 904

Buku pegangan guru matematika smp kelas 9 kurikulum 2013 638 buku pegangangurumatematikasmpkelas9kurikulum2013 904
Buku Paket Pegangan Guru Matematika Kelas 11 Kurikulum 2013 Info Terkait Buku 400 buku paket pegangan guru matematika 600

Kunci Jawaban Lks Penerbit Putra Nugraha Kelas 10 Kanal Jabar 638 kunci jawaban lks penerbit putra 892
buku guru matematika smp kelas vii pdf 768 buku guru matematika smp kelas vii pdf 1024

Buku Teks Pelajaran 397 buku kurikulum 2013 revisi 2017 kelas 7 matematika 577

Buku Guru Matematika Kelas 12 SMA MA SMK MAK Kurikulum 2013 Revisi 2018 Unduh Berkas Sekolah 398 buku guru matematika kelas 12 500

Nyatakan Perpangkatan Di Bawah Ini Dalam Bentuk Lain Berbagi Bentuk Penting 638 nyatakan perpangkatan di bawah ini 904
Buku Pegangan Guru Prakarya SMP Kelas 9 Kurikulum 2013 768 Buku Pegangan Guru Prakarya SMP Kelas 9 Kurikulum 2013 matematohir pdf 1024
Buku Bahasa Inggris Kelas 8 Kurikulum 2013 Pegangan Siswa Guru Ilmu Sosial 398 buku bahasa inggris kelas 8 kurikulum 539
buku pegangan bksn 2019,buku pegangan guru,buku pegangan guru matematika,buku pegangan guru matematika kelas 10,buku pegangan guru paud,buku pegangan guru pkn k13 kelas xi,buku pegangan ilmu pen ahuan kosmetik,buku pegangan kader,buku pegangan legio maria,buku pegangan siswa bahasa inggris kelas ix,buku pegangan siswa fikih ma kelas x pdf,buku pegangan sosialisasi jkn,buku pegangan teknik tenaga listrik jilid ii,
Tidak ada komentar:
Posting Komentar